En frecuencias de VHF y UHF la comunicación es prácticamente de visión directa por las zonas de Fresnel y esto hace que se deban respetar algunas ideas para poder llegar lejos, de hecho, la frase “altura es cobertura” en estas bandas se aplica estupendamente y voy a comentar seguidamente el porqué de esta frase desde el punto de vista técnico.
Cuando se transmite en estas bandas, por ejemplo, en UHF la señal que va de una antena a la otra no va realmente en un rayo directo, si no que se transmite toda la energía en un volumen ovoide (azul en el dibujo) que se llama primera zona de Fresnel.
Realmente se transmite en varios ovoides zonas de Fresnel, pero el más importante es el primero (Zona 1 de Fresnel)
¿Qué ocurre en esta zona primera de Fresnel si hay obstáculos? Pues que mientras el obstáculo cumpla que la parte interceptada este obstáculo este por debajo de un cierto valor no pasa nada este valor es de acuerdo al dibujo
r2 >= r1 · 0,6
donde el radio 1 es el radio de la primera zona de Fresnel en ese punto
R2 es la distancia del eje del ovoide primero de Fresnel al obstáculo, hay que decir que si ese obstáculo sube más allá la señal se puede perder.
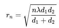
Los valores de r1 se pueden calcular con las fórmulas de cálculo de Fresnel,
Donde:
- n es el número de zona
- λ es la longitud de onda
- d1 distancia de antena 1 al obstáculo
- d2 distancia de antena 2 al obstáculo
¿Por qué entonces se dice esto de altura es cobertura? Pues simplemente porque si la altura 1 y la 2 son suficientemente grande para que no haya esa intercepción de energía de la primera zona de Fresnel la señal llegará nada más que con la atenuación del espacio libre.
¿Y en esas condiciones como se llegará a un cierto corresponsal?
En estas condiciones de no interrupción se puede aplicar esta fórmula (fórmula de Friis o de espacio libre)
Prx=Pt(dBm) +GT +GR -32,5 – 20log(d) en Km -20 log(f) en MHz
Veamos un ejemplo:
Supóngase que:
- Se transmite con una potencia de 1W que ya sabemos poner en dBm esto es 30 dBm
- Se tienen antenas de ganancia de GT = GR =1dB
- Una distancia de d entre antenas =10 Km
- Se transmite en f =430 MHz
- No se intercepta la zona de Fresnel.
La pregunta es ¿Qué le señalará el s-meter al corresponsal en RX?
La señal que recibirá aplicando esta fórmula es:
Prx = 30 (dBm) + 1 dB + 1 dB -32,5 – 20 log (10)- 20 log(430)
Prx = -73,1 dBm que viene a ser un S9 +20
Nota: El S-meter de HF y el de VHF/UHF se diferencia de los de VHF y UHF porque tienen +20 db más para un mismo valor de señal S que los s-meter de HF
Como se ve es sencillísimo calcularlo, eso sí siempre que no haya una intercepción ya que en ese caso habrá que poner otro término de atenuación debido a la zona de Fresnel, que se verá en una entrada próxima.



